曲靖市2014年招聘教师初中数学考试大纲
2014-05-20来源:曲靖市教育局
数 学
2014年曲靖市教育系统公开招聘教师考试
专业知识 教法技能 大纲
数 学(初中教育岗位)
曲靖市教育局
一、考试性质
曲靖市教育系统公开招聘教师考试属选拔性考试。教育行政部门根据教育事业改革和发展的需要,考查、考核考生从事教师工作的专业知识、教育教学能力,按招考录用计划择优录用。因此,考试具有较高的信度、效度、区分度和一定的难度。
二、考试形式与试卷结构
考试形式:闭卷,笔试。“专业知识”满分100分,考试用时100分钟;“教法技能”满分50分,考试用时50分钟。二者合卷满分共150分,考试限定用时150分钟。
试题类型:“专业知识”的题型为单项选择题、填空题、解答题;“教法技能”的题型为单项选择题、填空题、简答与分析题、教材分析与教学设计题。
三、考试内容
专业知识
1.数与代数
(1)数与式:有理数,实数,代数式,整式与分式。
(2)方程与不等式:方程与方程组,不等式与不等式组。
(3)函数:数量关系和变化规律,函数,一次函数,反比例函数,二次函数。
2.平面向量:向量,向量的加法与减法,实数与向量的积,平面向量的坐标表示,线段的定比分点,平面向量的数量积,平面两点间的距离,平移。
3.集合、简易逻辑:集合,全集,子集,补集,交集、并集;逻辑联结词,四种命题,充分条件和必要条件。
4.函数:映射,函数,函数的单调性,奇偶性,极值与最大(小)值;复合函数和反函数,互为反函数的函数图象间的关系;指数概念的扩充,有理指数幂的运算性质,指数函数;对数,对数的运算性质,对数函数;幂函数;函数的应用。
5.不等式:不等式,不等式的基本性质,不等式的证明,不等式的解法,含绝对值的不等式。
6.三角函数:角的概念的推广,弧度制;任意角的三角函数,单位圆中的三角函数线,同角三角函数的基本关系,正弦、余弦的诱导公式;两角和与差的正弦、余弦、正切,倍角的正弦、余弦、正切;正弦函数、余弦函数的图象和性质、周期函数、函数
的图象;正弦定理、余弦定理,斜三角形的解法。
7.数列:数列;等差数列及其通项公式,等差数列前n项和的公式;等比数列及其通项公式,等比数列前n项和的公式。
8.排列、组合、二项式定理:分类计数原理与分步计数原理;排列、排列数公式;组合、组合数的两个性质;二项式定理,二项式展开式的性质。
9.极限与连续:数学归纳法,数学归纳法应用;数列的极限;极限与连续,数列极限与无穷大量;函数的极限;极限的四则运算;函数的连续性。
10.导数与微分:导数的概念,导数的几何意义,简单函数的导数;求导法则,复合函数求导法,基本导数公式;微分及其运算,高阶导数与高阶微分;导数的应用——函数的单调性、凸性和极值、函数的最大值和最小值。
11.积分:不定积分的概念及运算法则,不定积分的计算;定积分的概念,定积分的计算;定积分的应用——平面图形的面积。
12.多变量微积分学:偏导数和全微分,偏导数的定义,会求简单函数的偏导数;全微分的定义,会求简单函数的全微分;高阶偏导数与高阶全微分,会求简单函数的二阶偏导数及二阶全微分;二重积分的定义和性质,二重积分的计算。
13.数系的扩充——复数:复数的概念,复数的加法和减法,复数的乘法和除法;数系的扩充。
14.高等代数
(1)多项式:数域,一元多项式,整除的概念,最大公因式,因式分解定理。
(2)行列式:行列式的计算,应用行列式解线性方程组(克拉默法则)。
(3)矩阵:矩阵的概念,矩阵的秩,矩阵的运算。
15.空间与图形
(1)图形的认识:点、线、面,角,相交线与平行线,三角形,四边形,圆,尺规作图,视图与投影。
(2)图形变换:图形的轴对称,图形的平移,图形的旋转,图形的相似。
(3)图形与坐标:平面直角坐标系,点的坐标,建立适当的直角坐标系,图形变换与点的坐标的变换。
(4)图形与证明:证明的必要性,定义、命题、逆命题、定理的含义,反证法、综合法证明及其格式,证明相关的重要命题,欧几里得《原本》及演绎体系认识。
16.直线、平面、简单几何体:平面及其基本性质,平面图形,直观图的画法;平行直线,对应边分别平行的角,异面直线所成的角,异面直线的公垂线,异面直线的距离;直线和平面平行的判定与性质,直线和平面垂直的判定与性质,点到平面的距离,斜线在平面上的射影,直线和平面所成的角,三垂线定理及其逆定理;平行平面的判定与性质,平行平面间的距离,二面角及其平面角,两个平面垂直的判定与性质;多面体,正多面体,棱柱,棱锥,球。
17.解析几何
(1)平面解析几何
①直线和圆的方程:直线的倾斜角和斜率,直线方程的两点式、点斜式、截距式及一般式;两条直线平行与垂直的条件;两条直线的交角,点到直线的距离;用二元一次不等式表示平面区域,简单的线性规划问题;曲线与方程的概念,由已知条件列出曲线方程;圆的标准方程和一般方程、圆的参数方程。
②圆锥曲线方程:椭圆及其标准方程,椭圆的简单几何性质,椭圆的参数方程;双曲线及其标准方程,双曲线的简单几何性质;抛物线及其标准方程,抛物线的简单几何性质。
(2)空间解析几何
①向量代数:向量及其线性运算,仿射坐标系及直角坐标系,向量的内积。
②空间的平面和直线:仿射坐标系中平面的方程,两平面的相关位置;直角坐标系中平面的方程,点到平面的距离;直线的方程,直线、平面间的相关位置;点、直线和平面之间的度量关系。
③常见曲面:球面,柱面,椭球面。
18.统计与概率
(1)统计:处理较为复杂的统计数据,抽样、总体、个体、样本,统计图,加权平均数及计算,极差、方差及其计算,频数、频率、频数分布、频数分布表、频数分布直方图和频数折线图,问题解决。
(2)概率:随机事件及其运算,概率的定义及其确定方法,概率的性质,随机事件的概率,等可能事件的概率,互斥事件有一个发生的概率,相互独立事件同时发生的概率,独立重复试验。
(3)概率与统计:离散型随机变量的分布率,离散型随机变量的期望值和方差;抽样方法,总体分布的估计,正态分布,线性回归。
教法技能(数学教学)
1.《义务教育数学课程标准(2011年版)》:初中数学教育的培养目标;初中数学课程的基本理念;课程内容的设计思路及总体目标、学段目标。
2.《义务教育数学课程标准(2011年版)》:初中数学课程的内容标准及数学课程内容框架,各部分知识的具体目标;课程实施建议(教学建议,评价建议,教材编写建议)。
3.明确教师不仅是知识的传授者,而且是学生学习的引导者、组织者和合作者。
以学生为本,制定教学和学习计划;帮助学生打好基础,发展能力;注重联系实际,提高对数学整体的认识;注重数学知识与实际的联系,发展学生的应用意识和能力;关注数学的文化价值,促进学生科学观的形成;改善教与学的方式,使学生主动地学习;恰当应用现代信息技术,提高教学质量;正确评价学生的数学基础知识和基本技能;实施促进学生发展的多元评价。
4.数学教学方法的启发式原则,传统教学方法——讲解法、谈论法、练习法、讲练结合法、教具演示法等的讲解和运用,教学方法的改革与创新。
5.中学数学教学原则:抽象与具体相结合的原则;理论与实际相结合的原则;严谨性与量力性相结合的原则;数与形相结合的原则;传授知识与培养能力相结合的原则;巩固与发展相结合的原则。
6.中学数学的逻辑基础:数学概论;数学命题;逻辑思维的基本规律;数学推理;数学证明。
7.数学基础知识的教学与基本能力的培养:数学概念的教学;数学命题的教学;数学思想方法的教学;解题的教学;能力的培养。
8.数学教学的基本功:组织教材的基本功;数学解题的基本功;运用数学手段与方法的基本功;组织教学的基本功;中学数学教学评价命题的基本功;参予数学教学研究的基本功。
9.制定初中数学教学中的学期、单元、章节教学计划;依据教学内容和学生实际备课、上课、辅导、批改作业、学生成绩考核,进行教学设计,编写教案、学案和说课案;收集教学过程中的反馈信息,指导、改进、调整教学。
四、考试要求
专业知识
1.知识要求:知识是指本大纲中所列考试内容中的数学概念、性质、法则、公式、公理、定理以及其中的数学思想和方法。对知识的要求要达到(1)理解和掌握、(2)灵活和综合运用、(3)全面系统把握知识的相互联系和规律三个层次。对于考试内容中所列初中数学知识要求达到(1)、(2)、(3)层次;高中数学知识要求达到(1)(2)层次;大学数学知识要求达到(1)层次要求。
(1)理解和掌握:要求对所列考试内容有较深刻的理论认识,能够解释、举例或变形、判断,并能利用知识解决有关问题。
(2)灵活和综合运用:要求系统掌握考试内容的内在联系,能运用所列内容分析和解决较为复杂的或综合性的问题。
(3)全面、系统把握知识的相互联系和规律:要求清晰理解考试内容中初等数学、高等数学的知识间的相互联系、规律,能用较高的观点分析中学数学知识中的有关问题,阐述其原理和规律。
2.能力要求:能力是指思维能力、运算能力、空间想象能力以及实践能力和创新意识。
(1)思维能力:能深刻地理解问题和资料,并进行观察、比较、分析、综合、抽象与概括;能熟练地应用类比、归纳进行推理,能合乎逻辑地、准确地进行表述。
(2)运算能力:深刻理解法则、公式的原理和推理依据、过程,运用法则、公式进行正确运算、变形和数据处理,根据问题的条件,寻找与设计合理、简捷的运算途径;根据问题的要求,对数据进行估计和近似计算;对计算结果的正误能够进行正确判断和解释。
(3)空间想象能力:具备完整的空间观念,根据条件作出图形,根据图形想象出直观图象;正确分析图形中的基本元素及其相互关系;能对图形进行分解、组合与变换;用图形与图表等手段形象地揭示问题的本质。
(4)实践能力:能综合应用所学数学知识、思想和方法解决问题,包括解决在相关学科、生产、生活中的数学问题;能深刻理解对问题陈述的材料,并对所提供的信息资料进行科学、合理、系统的归纳、整理和分类,熟练地将实际问题抽象成数学问题,建立正确的数学模型;应用相关的数学方法解决问题并加以验证,并能用准确的数学语言表述和说明。
(5)创新意识:对新颖的信息、情境和设问,选择有效的方法和手段分析信息,综合与灵活地应用所学数学知识、思想和方法,进行独立的思考、探索和研究,提出解决问题的思路,创造性地解决问题。
3.数学修养要求:数学修养指对数学本质的理解及应用数学思想方法、知识解决学习、工作、生活中的问题的意识。
(1)要求考生具有一定的数学视野,认识数学的科学价值和人文价值,崇尚数学的理性精神,形成审慎思维的习惯,体会数学的美学意义。
(2)深刻理解数学的高度的抽象性、逻辑的严谨性、广泛的运用性等主要特征,并能运用到学习及教学活动之中。
(3)通过系统的数学知识的学习,理解数学教学的实用功能、育人功能和文化功能。
数学考试要求,应充分体现在考查基础知识的基础上,注重对数学思想和方法的考查,注重对数学能力的考查,注重展现数学的科学价值和人文价值,同时兼顾试题的基础性、综合性和现实性,重视试题间的层次性,合理调控综合程度,坚持多角度、多层次的考查,努力实现综合素养的要求。
教法技能(数学教学)
1.了解《义务教育数学课程标准(2011年版)》的基本理念、设计思路、课程总体目标及学段目标,明确数学学科在初中教育教学中的地位和作用。
2.熟悉《义务教育数学课程标准(2011年版)》初中学段(7—9年级)内容标准的主要内容,明确各部分内容间的关系及各部分内容的地位和作用。
3.基本掌握初中数学教学的基本原则和基本方法。
4.能够依据教学内容及《义务教育数学课程标准(2011年版)》的要求,选择适当的教学方法进行课堂教学设计,编写教案和说课案,进行实际教学。
5.依据课程标准、教学内容和要求,正确、科学地评价学生学业成绩,指导学生学习,促进学生发展。
五、题型示例
专业知识
一、单项选择题
1.若反比例函数
的图象经过点(-1,2),则一次函数y=kx+2的图象不过 ( )
A.第一象限 B.第二象限 C.第三象限 D.第四象限
2.张某以平均每条a元的价格买了三条鱼,又以平均每条b元的价格买了二条鱼,后来以每条(a+b)/2的均价把鱼全部卖出,结果发现亏了钱,原因是 ( )
A.a=b B.a>b C.a<b D.与a和b的大小无关
3.在△ABC与△A1B1C1中,若AB=A1B1,AC=A1C1,∠B=∠B1,则△ABC与△A1B1C1一定 ( )
A.全等 B.相似 C.面积相等 D.以上三个选项都不对
4.若函数
在x=0处连续,则A等于 ( )
A.2 B.1 C.1/2 D.0
5.平面2x-y+3z=6 在x、y、z轴上的截距分别为a、b、c,则 ( )
6.若积分区域为D:4≤x2+y2≤9,则
等于 ( )
A.9π B.5π C.4π D.3π
7.矩阵
的秩为 ( )
A.0 B.1 C.2 D.3
二、填空题
8.若
,则a-2b2= .
9.在梯形ABCD中,AD∥BC,对角线AC⊥BD,且AC=8cm,BD=6cm,则梯形的高为 cm.
10.若f(x)=sin23x,则f、(x)= .
11.∫sin2xdx= .
12.函数f(x)=ex在R上展开成幂级数为ex= .
三、解答题
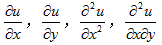
13.已知:u=xy2+sin(x2+y2),求
.
14.计算不定积分:I=∫excos xdx.
15.篮球运动员在比赛中每次罚球命中得1分,罚不中得0分.已知某运动员罚球命中的概率为0.7,求他罚球1次的得分ζ的期望.
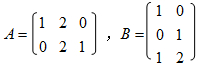
16.已知矩阵
.求矩阵C=AB,并求C的逆矩阵C-1.
17.如图,已知AB是⊙O的直径,⊙O过BC中点D,且DE⊥AC.

(1)求证:DE是⊙O的切线;
(2)若∠C=30°,CD=10cm,
求⊙O的半径.
18.用ε— N方法证明:
.
教法技能(数学教学)
一、单项选择题
1.“不相交的两条直线叫做平行线”这个定义的错误是 ( )
A.外延过宽 B.定义不简明 C.外延过窄 D.定义循环
2.数学概念教学过程一般分成的几个阶段是 ( )
A.理解——运用——强化 B.熟悉——运用——延伸
C.引入——理解——运用 D.剖析——理解——强化
3.有利于教师及时获得反馈信息的教学方法是 ( )
A.讲解法 B.谈话法 C.演示法 D.程序教学法
4.数学教学中要培养的基本技能是 ( )
A.能解综合性的难题 B.善于与同学进行数学交流
C.会背诵教学内容 D.能按一定的程序和步骤会算、会画图、会简单推理
二、填空题
5.逻辑学对概念是这样说的:____________________________________叫做概念.
6.“仅有一组对边平行的四边形叫做梯形”的定义是________________的定义方式.其中,本质属性是 ,种差是___________________.
7.命题“若a=0或b=0,则ab=0”的逆否命题是_______________________.
8.义务教育阶段的数学课程应突出体现基础性、普及性和发展性,使数学教育面向全体学生,实现___________________________; ;__________________________________.
三、简答与分析题
9.简答:数学命题教学的基本要求.
10.一般来说,学生的起点能力分析包括三个方面:(1)对学生预备技能的分析;(2)对学生目标技能的分析;(3)对学生学习态度的分析。试以“三角形的高”对学生的预备技能进行分析.
四、教学设计题
11.根据启发式教学原则和“再创造”的教学原则,请你设计在讲“平行四边形的概念”时的主要教学过程.
参考书目:
1.《义务教育数学课程标准(2011年版)》(7~9年级),中华人民共和国教育部制订,北京师范大学出版社出版。
2.义务教育课程标准实验教科书数学(7—9年级)。
3.现行普通高中数学教科书。
4.高等师范院校使用的《数学分析》、《解析几何》、《高等代数》、《概率论与数理统计》等相关教材。