曲靖市2015年招聘教师初中数学考试大纲

2015-05-21来源:曲靖市教育局

数 学


 

2014年曲靖市教育系统公开招聘教师考试

专业知识 教法技能 大纲

数 学(初中教育岗位)

曲靖市教育局

 

一、考试性质

曲靖市教育系统公开招聘教师考试属选拔性考试。教育行政部门根据教育事业改革和发展的需要,考查、考核考生从事教师工作的专业知识、教育教学能力,按招考录用计划择优录用。因此,考试具有较高的信度、效度、区分度和一定的难度。

二、考试形式与试卷结构

考试形式:闭卷,笔试。“专业知识”满分100分,考试用时100分钟;“教法技能”满分50分,考试用时50分钟。二者合卷满分共150分,考试限定用时150分钟。

试题类型:“专业知识”的题型为单项选择题、填空题、解答题;“教法技能”的题型为单项选择题、填空题、简答与分析题、教材分析与教学设计题。

三、考试内容

专业知识

1.数与代数

(1)数与式:有理数,实数,代数式,整式与分式。

(2)方程与不等式:方程与方程组,不等式与不等式组。

(3)函数:数量关系和变化规律,函数,一次函数,反比例函数,二次函数。

2.平面向量:向量,向量的加法与减法,实数与向量的积,平面向量的坐标表示,线段的定比分点,平面向量的数量积,平面两点间的距离,平移。

3.集合、简易逻辑:集合,全集,子集,补集,交集、并集;逻辑联结词,四种命题,充分条件和必要条件。

4.函数:映射,函数,函数的单调性,奇偶性,极值与最大(小)值;复合函数和反函数,互为反函数的函数图象间的关系;指数概念的扩充,有理指数幂的运算性质,指数函数;对数,对数的运算性质,对数函数;幂函数;函数的应用。

5.不等式:不等式,不等式的基本性质,不等式的证明,不等式的解法,含绝对值的不等式。

6.三角函数:角的概念的推广,弧度制;任意角的三角函数,单位圆中的三角函数线,同角三角函数的基本关系,正弦、余弦的诱导公式;两角和与差的正弦、余弦、正切,倍角的正弦、余弦、正切;正弦函数、余弦函数的图象和性质、周期函数、函数的图象;正弦定理、余弦定理,斜三角形的解法。

7.数列:数列;等差数列及其通项公式,等差数列前n项和的公式;等比数列及其通项公式,等比数列前n项和的公式。

8.排列、组合、二项式定理:分类计数原理与分步计数原理;排列、排列数公式;组合、组合数的两个性质;二项式定理,二项式展开式的性质。

9.极限与连续:数学归纳法,数学归纳法应用;数列的极限;极限与连续,数列极限与无穷大量;函数的极限;极限的四则运算;函数的连续性。

10.导数与微分:导数的概念,导数的几何意义,简单函数的导数;求导法则,复合函数求导法,基本导数公式;微分及其运算,高阶导数与高阶微分;导数的应用——函数的单调性、凸性和极值、函数的最大值和最小值。

11.积分:不定积分的概念及运算法则,不定积分的计算;定积分的概念,定积分的计算;定积分的应用——平面图形的面积。

12.多变量微积分学:偏导数和全微分,偏导数的定义,会求简单函数的偏导数;全微分的定义,会求简单函数的全微分;高阶偏导数与高阶全微分,会求简单函数的二阶偏导数及二阶全微分;二重积分的定义和性质,二重积分的计算。

13.数系的扩充——复数:复数的概念,复数的加法和减法,复数的乘法和除法;数系的扩充。

14.高等代数

(1)多项式:数域,一元多项式,整除的概念,最大公因式,因式分解定理。

(2)行列式:行列式的计算,应用行列式解线性方程组(克拉默法则)。

(3)矩阵:矩阵的概念,矩阵的秩,矩阵的运算。

15.空间与图形

(1)图形的认识:点、线、面,角,相交线与平行线,三角形,四边形,圆,尺规作图,视图与投影。

(2)图形变换:图形的轴对称,图形的平移,图形的旋转,图形的相似。

(3)图形与坐标:平面直角坐标系,点的坐标,建立适当的直角坐标系,图形变换与点的坐标的变换。

(4)图形与证明:证明的必要性,定义、命题、逆命题、定理的含义,反证法、综合法证明及其格式,证明相关的重要命题,欧几里得《原本》及演绎体系认识。

16.直线、平面、简单几何体:平面及其基本性质,平面图形,直观图的画法;平行直线,对应边分别平行的角,异面直线所成的角,异面直线的公垂线,异面直线的距离;直线和平面平行的判定与性质,直线和平面垂直的判定与性质,点到平面的距离,斜线在平面上的射影,直线和平面所成的角,三垂线定理及其逆定理;平行平面的判定与性质,平行平面间的距离,二面角及其平面角,两个平面垂直的判定与性质;多面体,正多面体,棱柱,棱锥,球。

17.解析几何

(1)平面解析几何

①直线和圆的方程:直线的倾斜角和斜率,直线方程的两点式、点斜式、截距式及一般式;两条直线平行与垂直的条件;两条直线的交角,点到直线的距离;用二元一次不等式表示平面区域,简单的线性规划问题;曲线与方程的概念,由已知条件列出曲线方程;圆的标准方程和一般方程、圆的参数方程。

②圆锥曲线方程:椭圆及其标准方程,椭圆的简单几何性质,椭圆的参数方程;双曲线及其标准方程,双曲线的简单几何性质;抛物线及其标准方程,抛物线的简单几何性质。

(2)空间解析几何

①向量代数:向量及其线性运算,仿射坐标系及直角坐标系,向量的内积。

②空间的平面和直线:仿射坐标系中平面的方程,两平面的相关位置;直角坐标系中平面的方程,点到平面的距离;直线的方程,直线、平面间的相关位置;点、直线和平面之间的度量关系。

③常见曲面:球面,柱面,椭球面。

18.统计与概率

(1)统计:处理较为复杂的统计数据,抽样、总体、个体、样本,统计图,加权平均数及计算,极差、方差及其计算,频数、频率、频数分布、频数分布表、频数分布直方图和频数折线图,问题解决。

(2)概率:随机事件及其运算,概率的定义及其确定方法,概率的性质,随机事件的概率,等可能事件的概率,互斥事件有一个发生的概率,相互独立事件同时发生的概率,独立重复试验。

(3)概率与统计:离散型随机变量的分布率,离散型随机变量的期望值和方差;抽样方法,总体分布的估计,正态分布,线性回归。

教法技能(数学教学)

1.《义务教育数学课程标准(2011年版)》:初中数学教育的培养目标;初中数学课程的基本理念;课程内容的设计思路及总体目标、学段目标。

2.《义务教育数学课程标准(2011年版)》:初中数学课程的内容标准及数学课程内容框架,各部分知识的具体目标;课程实施建议(教学建议,评价建议,教材编写建议)。

3.明确教师不仅是知识的传授者,而且是学生学习的引导者、组织者和合作者。

以学生为本,制定教学和学习计划;帮助学生打好基础,发展能力;注重联系实际,提高对数学整体的认识;注重数学知识与实际的联系,发展学生的应用意识和能力;关注数学的文化价值,促进学生科学观的形成;改善教与学的方式,使学生主动地学习;恰当应用现代信息技术,提高教学质量;正确评价学生的数学基础知识和基本技能;实施促进学生发展的多元评价。

4.数学教学方法的启发式原则,传统教学方法——讲解法、谈论法、练习法、讲练结合法、教具演示法等的讲解和运用,教学方法的改革与创新。

5.中学数学教学原则:抽象与具体相结合的原则;理论与实际相结合的原则;严谨性与量力性相结合的原则;数与形相结合的原则;传授知识与培养能力相结合的原则;巩固与发展相结合的原则。

6.中学数学的逻辑基础:数学概论;数学命题;逻辑思维的基本规律;数学推理;数学证明。

7.数学基础知识的教学与基本能力的培养:数学概念的教学;数学命题的教学;数学思想方法的教学;解题的教学;能力的培养。

8.数学教学的基本功:组织教材的基本功;数学解题的基本功;运用数学手段与方法的基本功;组织教学的基本功;中学数学教学评价命题的基本功;参予数学教学研究的基本功。

9.制定初中数学教学中的学期、单元、章节教学计划;依据教学内容和学生实际备课、上课、辅导、批改作业、学生成绩考核,进行教学设计,编写教案、学案和说课案;收集教学过程中的反馈信息,指导、改进、调整教学。

四、考试要求

专业知识

1.知识要求:知识是指本大纲中所列考试内容中的数学概念、性质、法则、公式、公理、定理以及其中的数学思想和方法。对知识的要求要达到(1)理解和掌握、(2)灵活和综合运用、(3)全面系统把握知识的相互联系和规律三个层次。对于考试内容中所列初中数学知识要求达到(1)、(2)、(3)层次;高中数学知识要求达到(1)(2)层次;大学数学知识要求达到(1)层次要求。

(1)理解和掌握:要求对所列考试内容有较深刻的理论认识,能够解释、举例或变形、判断,并能利用知识解决有关问题。

(2)灵活和综合运用:要求系统掌握考试内容的内在联系,能运用所列内容分析和解决较为复杂的或综合性的问题。

(3)全面、系统把握知识的相互联系和规律:要求清晰理解考试内容中初等数学、高等数学的知识间的相互联系、规律,能用较高的观点分析中学数学知识中的有关问题,阐述其原理和规律。

2.能力要求:能力是指思维能力、运算能力、空间想象能力以及实践能力和创新意识。

(1)思维能力:能深刻地理解问题和资料,并进行观察、比较、分析、综合、抽象与概括;能熟练地应用类比、归纳进行推理,能合乎逻辑地、准确地进行表述。

(2)运算能力:深刻理解法则、公式的原理和推理依据、过程,运用法则、公式进行正确运算、变形和数据处理,根据问题的条件,寻找与设计合理、简捷的运算途径;根据问题的要求,对数据进行估计和近似计算;对计算结果的正误能够进行正确判断和解释。

(3)空间想象能力:具备完整的空间观念,根据条件作出图形,根据图形想象出直观图象;正确分析图形中的基本元素及其相互关系;能对图形进行分解、组合与变换;用图形与图表等手段形象地揭示问题的本质。

(4)实践能力:能综合应用所学数学知识、思想和方法解决问题,包括解决在相关学科、生产、生活中的数学问题;能深刻理解对问题陈述的材料,并对所提供的信息资料进行科学、合理、系统的归纳、整理和分类,熟练地将实际问题抽象成数学问题,建立正确的数学模型;应用相关的数学方法解决问题并加以验证,并能用准确的数学语言表述和说明。

(5)创新意识:对新颖的信息、情境和设问,选择有效的方法和手段分析信息,综合与灵活地应用所学数学知识、思想和方法,进行独立的思考、探索和研究,提出解决问题的思路,创造性地解决问题。

3.数学修养要求:数学修养指对数学本质的理解及应用数学思想方法、知识解决学习、工作、生活中的问题的意识。

(1)要求考生具有一定的数学视野,认识数学的科学价值和人文价值,崇尚数学的理性精神,形成审慎思维的习惯,体会数学的美学意义。

(2)深刻理解数学的高度的抽象性、逻辑的严谨性、广泛的运用性等主要特征,并能运用到学习及教学活动之中。

(3)通过系统的数学知识的学习,理解数学教学的实用功能、育人功能和文化功能。

数学考试要求,应充分体现在考查基础知识的基础上,注重对数学思想和方法的考查,注重对数学能力的考查,注重展现数学的科学价值和人文价值,同时兼顾试题的基础性、综合性和现实性,重视试题间的层次性,合理调控综合程度,坚持多角度、多层次的考查,努力实现综合素养的要求。

教法技能(数学教学)

1.了解《义务教育数学课程标准(2011年版)》的基本理念、设计思路、课程总体目标及学段目标,明确数学学科在初中教育教学中的地位和作用。

2.熟悉《义务教育数学课程标准(2011年版)》初中学段(7—9年级)内容标准的主要内容,明确各部分内容间的关系及各部分内容的地位和作用。

3.基本掌握初中数学教学的基本原则和基本方法。

4.能够依据教学内容及《义务教育数学课程标准(2011年版)》的要求,选择适当的教学方法进行课堂教学设计,编写教案和说课案,进行实际教学。

5.依据课程标准、教学内容和要求,正确、科学地评价学生学业成绩,指导学生学习,促进学生发展。

五、题型示例

专业知识

一、单项选择题

1.若反比例函数的图象经过点(-1,2),则一次函数y=kx+2的图象不过 ( )

A.第一象限 B.第二象限 C.第三象限 D.第四象限

2.张某以平均每条a元的价格买了三条鱼,又以平均每条b元的价格买了二条鱼,后来以每条(a+b)/2的均价把鱼全部卖出,结果发现亏了钱,原因是 ( )

A.a=b B.a>b C.a<b D.与a和b的大小无关

3.在△ABC与△A1B1C1中,若AB=A1B1,AC=A1C1,∠B=∠B1,则△ABC与△A1B1C1一定 ( )

A.全等 B.相似 C.面积相等 D.以上三个选项都不对

4.若函数 在x=0处连续,则A等于 ( )

A.2 B.1 C.1/2 D.0

5.平面2x-y+3z=6 在x、y、z轴上的截距分别为a、b、c,则 ( )

6.若积分区域为D:4≤x2+y2≤9,则等于 ( )

A.9π B.5π C.4π D.3π

7.矩阵 的秩为 ( )

A.0 B.1 C.2 D.3

二、填空题

8.若,则a-2b2=.

9.在梯形ABCD中,AD∥BC,对角线AC⊥BD,且AC=8cm,BD=6cm,则梯形的高为cm.

10.若f(x)=sin23x,则f(x)=.

11.∫sin2xdx=.

12.函数f(x)=ex在R上展开成幂级数为ex=.

三、解答题

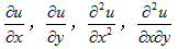
13.已知:u=xy2+sin(x2+y2),求

14.计算不定积分:I=∫excos xdx.

15.篮球运动员在比赛中每次罚球命中得1分,罚不中得0分.已知某运动员罚球命中的概率为0.7,求他罚球1次的得分ζ的期望.

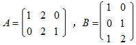
16.已知矩阵.求矩阵C=AB,并求C的逆矩阵C-1

17.如图,已知AB是⊙O的直径,⊙O过BC中点D,且DE⊥AC.

(1)求证:DE是⊙O的切线;

(2)若∠C=30°,CD=10cm,

求⊙O的半径.

18.用ε— N方法证明:

教法技能(数学教学)

一、单项选择题

1.“不相交的两条直线叫做平行线”这个定义的错误是 ( )

A.外延过宽 B.定义不简明 C.外延过窄 D.定义循环

2.数学概念教学过程一般分成的几个阶段是 ( )

A.理解——运用——强化 B.熟悉——运用——延伸

C.引入——理解——运用 D.剖析——理解——强化

3.有利于教师及时获得反馈信息的教学方法是 ( )

A.讲解法 B.谈话法 C.演示法 D.程序教学法

4.数学教学中要培养的基本技能是 ( )

A.能解综合性的难题 B.善于与同学进行数学交流

C.会背诵教学内容 D.能按一定的程序和步骤会算、会画图、会简单推理

二、填空题

5.逻辑学对概念是这样说的:____________________________________叫做概念.

6.“仅有一组对边平行的四边形叫做梯形”的定义是________________的定义方式.其中,本质属性是,种差是___________________.

7.命题“若a=0或b=0,则ab=0”的逆否命题是_______________________.

8.义务教育阶段的数学课程应突出体现基础性、普及性和发展性,使数学教育面向全体学生,实现___________________________;;__________________________________.

三、简答与分析题

9.简答:数学命题教学的基本要求.

10.一般来说,学生的起点能力分析包括三个方面:(1)对学生预备技能的分析;(2)对学生目标技能的分析;(3)对学生学习态度的分析。试以“三角形的高”对学生的预备技能进行分析.

四、教学设计题

11.根据启发式教学原则和“再创造”的教学原则,请你设计在讲“平行四边形的概念”时的主要教学过程.

参考书目:

1.《义务教育数学课程标准(2011年版)》(7~9年级),中华人民共和国教育部制订,北京师范大学出版社出版。

2.义务教育课程标准实验教科书数学(7—9年级)。

3.现行普通高中数学教科书。

4.高等师范院校使用的《数学分析》、《解析几何》、《高等代数》、《概率论与数理统计》等相关教材。

猜你喜欢
云南财经大学2025年下半年招聘人员公告昆明医科大学第一附属医院2026年校园招聘公告2025年西南林业大学招聘编外工作人员公告(三)2025年国家税务总局云南省税务局所属事业单位招聘工作人员公告2025年云南省未成年犯管教所招聘警务辅助人员公告2025年云南省物流与供应链公共事务总监招聘公告大理大学第一附属医院开展2026年校园招聘公告云南省阜外心血管病医院开展2026年校园招聘公告2025年北京大学肿瘤医院云南医院非事业编制工勤人员招聘笔试成绩公告2026年云南省卫生健康委所属事业单位校园招聘的公告2025年10月云南省教师招聘汇总2026年军队文职人员公开招考先面试后笔试岗位报考指南
最新培训课程
2025年云南省特岗教师面试课程2026年仕途无忧国省考、事业单位全程系列考前培训课程2026云南农信社秋招笔试精讲课2026云南定向选调笔试精讲课2026云南烟草笔试精讲课2026南方电网秋招笔试精讲课2026银行秋招笔试精讲课2026年云南省农信社考前笔试课程2025年昆明市教体局教师招聘面试课程2026年金领辉煌农信社笔面定制班2026年金领辉煌银行笔面定制班2025云南黄金集团面试专项班2025国家能源集团面试专项班考前培训简章2025年西部计划面试专项特训营-结构化/无领导2025仕途无忧四川省公务员补录面试定制营2026年仕途无忧国考全程系列考前培训简章2026年仕途无忧国考暑期特训营简章2025云南特岗教师学科精讲课,试看满意购买,配套纸质资料免费包邮!2025云南特岗系统精讲课程!配套纸质资料包邮到家上新特惠!只需199!云南2025三支一扶系统精讲网课